This thread has been locked.

If you have a related question, please click the "Ask a related question" button in the top right corner. The newly created question will be automatically linked to this question.

AWR1443: How is the maximum range calculated in mmWave Sensing Estimator tool?

Part Number: AWR1443


Hello,

I was curious as to how mmWave Sensing Estimator is calculating the maximum range?

I am entering the following parameters in mmWave:

To keep it simple, I am using 1 TX and 1 RX antenna with 0 losses.

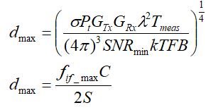
I realize that maximum distance is dependent on  the radar range equation and the slope/IFfreq equations:

Using the 2nd equation, I can get the desired range of 70 with the chirp parameters: S = 7.21MHz/us and Fif = 3.36MHz.

What I don't understand is how the "Max Range for Typical Detectable object" of 84.61m is calculated?

I am using the radar range equation with:

RCS = 5

Pt = 12 dBm =0.0158W

Gtx = Grx = 9 db = 7.94

wavelength = 3.95mm

Tmeas = number of chirps * Chirp duration = 65 * 55us

SNRmin = 12 dB = 15.85

Temp = 293K

F = 16 dB = 39.81

Bandwidth = 5MHz

This only results in 1.5m which is of course not correct.

1) I am curious as to how Tmeas is calculated? Isn't it just number of chirps x chirp time?

2) How is the bandwidth calculated? Would it just be the IF bandwidth?

Thank you,

Faiz