This thread has been locked.

If you have a related question, please click the "Ask a related question" button in the top right corner. The newly created question will be automatically linked to this question.

DAC8830: Issue expected if VREF=VDD

Part Number: DAC8830

Hi team,

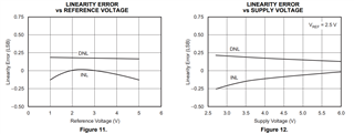
My customer is considering to use DAC8830 with VDD shorted VREF. I found the linearity error depends on supply voltage and reference voltage, what else? (e.g. affect PSRR, etc.?)

Additionally, I'm curious about the linearity error difference between Figure 11 and Figure 12 with the same combination for example VDD=5V, VREF=2.5V. Isn't it reproducible?

VDD=+5V

Regards,
Kazuto