This thread has been locked.

If you have a related question, please click the "Ask a related question" button in the top right corner. The newly created question will be automatically linked to this question.

LMP90100 at very low ambient temperature

Other Parts Discussed in Thread: LMP90100

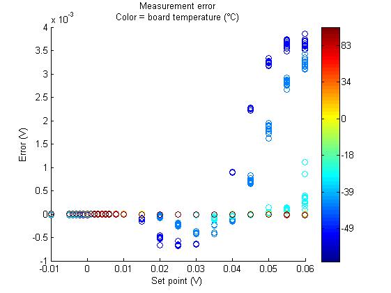
We have designed and assembled a board that should operate from -55 to 105 °C. It is currently under test. We use 3 LMP90100 to measure several input channels: type K thermocouple and RTD.  For tests and calibration, we have put the board at different temperatures from -55 to 105 °C and used a precise voltage source from -10 mV to 60 mV (the source is at room temperature, of course). The first results were very good, with very low temperature dependence, see attached figure

Then we did some other tests, and later we discovered huge error when the board is below -35 °C.

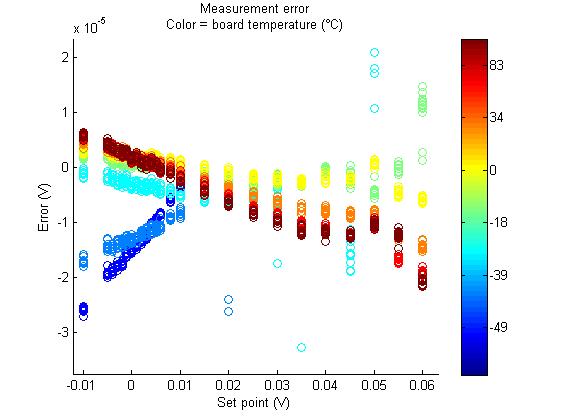
Here is a zoom:

We can observe that:

  • for temperatures above -35 °C, the error remains quite limited (and acceptable for us),
  • for set point between -10 and +10 mV, the error is limited even at very low temperature,
  • for temperatures below -35 °C and set point above 10 mV, the error is huge,
  • the results are similar on all 3 components (LMP90100).

We have tried and checked many things:

  • We have monitored the power lines and the voltage reference, we have no problem there.
  • We have tried with and without background calibration, there is little difference.

After a lot of time we have discovered that using the Fixed Gain Amplifier is the source of the problem. So if we remove it, and use a x8 gain (register value 0x76 at address 0x21 ) the huge error disappear. But we have some noise.

Thank you in advance