Hi team,
normally we want magnetzing current small to have "the smaller loss",
copper loss obvious is dominated,
1.but is smaller magnetizing current also bring smaller core loss?
2. is larger Lm tends to have larger wiring coil resistance ?
This thread has been locked.
If you have a related question, please click the "Ask a related question" button in the top right corner. The newly created question will be automatically linked to this question.
Hi team,
normally we want magnetzing current small to have "the smaller loss",
copper loss obvious is dominated,
1.but is smaller magnetizing current also bring smaller core loss?
2. is larger Lm tends to have larger wiring coil resistance ?
Hi Fred,
Magnetizing current reduced by increasing the Lm value. This would improve the light load efficiency. However, during full load, the variation of frequency will be very high in order to achieve the required gain. So, ΔB will increase as the frequency of operation will be lower. So, core losses will increase.
Also, to achieve the larger Lm, you need to have a greater number of turns. Due to that Rac will increase.
Regards
Manikanta P
Hi Manikanta,
really appreciate your illustration, about full load, I have two questions.
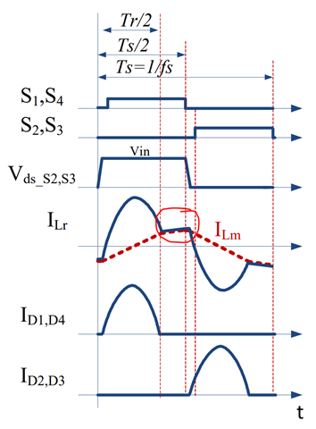
1. want to confirm on one thing, since with same full load condition, higher Lm would leads smaller Fs which means longer discontinuous time.
so in order to compensate the longer discontinuous duration, RMS current need to be higher than the one with lower Lm to meet same load current, right?
but how about freewheel current during discontinuous time, is it also increased as the duration time extend?
。
2. also since the gain of Mg should be exactly 1 for nominal input voltage, so if my input voltage at my UCC256404 is fixed.
ideally there won't be frequency shift (Fs=Fr) and the above scenario we discussed won't happen either , right?
Hi Fred,
1. want to confirm on one thing, since with same full load condition, higher Lm would leads smaller Fs which means longer discontinuous time.
so in order to compensate the longer discontinuous duration, RMS current need to be higher than the one with lower Lm to meet same load current, right?
You are correct. I would strongly recommend you to simulate the LLC with different tank parameters to see this effect.
but how about freewheel current during discontinuous time, is it also increased as the duration time extend?
As the frequency goes lower and lower, ILM (the ringing current) current goes towards zero which causes ZCS.
2. also since the gain of Mg should be exactly 1 for nominal input voltage, so if my input voltage at my UCC256404 is fixed.
ideally there won't be frequency shift (Fs=Fr) and the above scenario we discussed won't happen either , right?
Thats correct.
Regards
Manikanta P
Hi Manikanta,
thanks,
by your answer to question 2,
you mean by increasing Lm, the "loss" of freewheel current would still be lower even though the duration is extended, right?
Hi Fred,
By increasing Lm, the rms value of magnetizing current will reduce. So, copper losses will reduce. However, Increasing LM too much will lead to loss of Zero Voltage switching. So, though the conduction losses are reducing, switching losses will be increasing.
Again, please do the simulations to see these effects.
Regards
Manikanta P