In TPS74801 datasheet P.11, there is a description of the following.
"In order to achieve the maximum accuracy specifications, R2 should be ≤ 4.99kΩ."
Why is this?
I would like to know the reason why R2 should be ≤ 4.99kΩ.
This thread has been locked.
If you have a related question, please click the "Ask a related question" button in the top right corner. The newly created question will be automatically linked to this question.
In TPS74801 datasheet P.11, there is a description of the following.
"In order to achieve the maximum accuracy specifications, R2 should be ≤ 4.99kΩ."
Why is this?
I would like to know the reason why R2 should be ≤ 4.99kΩ.
Hi Kohei
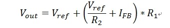
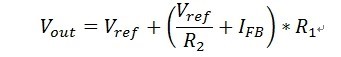
To ignore the IFB current, the basic formula of the output voltage is blow
The real situation is that
If the R2 is so large that the IFB may affect the Vout.
We can find the IFB current in datasheet ELECTRICAL CHARACTERISTICS
So we can calculate that . It will not affect the Vout.
To avoid the IFB affecting the Vout, The value of the R2 should not be greater than 4.99kΩ.
Best Regards
Hisen