This thread has been locked.

If you have a related question, please click the "Ask a related question" button in the top right corner. The newly created question will be automatically linked to this question.

TPS55340: Ilim and Frhpz

Part Number: TPS55340

Hi

We have some question about SEPIC configuration of TPS55340. 

Q1: On the datasheet , Ilim is defined at D=Dmax. Is this specification is depended on Duty?


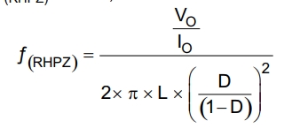
Q2: There are two type of Frhpz equation.
          Equation 30 is for Boost. (left)
          Equation 54 is for SEPIC. (right)

   
Why these are different? Our customer measured the frequency specification at SEPIC configuration.The result was same as the point which is calculated by equation 30.


Q3: Regarding NS pin, Pin #10 and #14 must be connected to ground as it mentioned at datasheet.Our cusomter would like these pin to be open. Because they are concerned the case when the neighboring pin shorted.
Is there any concerned when these pin are left open? Or if these pin are shorted to the neighboring pin, does the device break?

Best Regards,

Koji Hamamoto

  • Hi koji-San,

    For Q1:  there's a weak relationship, but if you keep Ipeak<5.25 A, then it will be OK in any duty cycle;

    For Q2: Actually, these two equations are the same;

    For Q3: Please connect the NC pin to GND as recommended. if may couple some noise if left open.

  • Hi Helen-san,

    Thank you for your support.

    Regarding Q2, I calculated the value by each equation. However the result of Frhpz is different between equation (30) and (54). Why is the result different?

    Regarding Q3, I understood that NC pin should be connected to ground.However we need to explain to the customer.(Because it may couple some noise if left open.)
    Where is NC pin connected to internally? NC pin is connected to the ground of the die chip?

    Best Regards,
    Koji Hamamoto
  • HI Koji-San,

    for Q2: sorry I made a mistake. the right half plane zero of boost and sepic calculation is different. So what is the usage in your application, boost or Sepic?

    for Q3: The NC pin's max voltage should be controlled below 3V, or it will be damaged. So connect to PGND can for sure it is safe while left open may couple a certain level of noise and has the potential risk of higher than 3V.

  • Hi Helen-san,

    Thank you.

    For Q2: The customer use this device for SEPIC. And they measured the Frhpz at SEPIC configuration. At the result, the right-half-plane zero is appeared at same as the point which is calculated by boost equation. So that is why we ask the difference of the both equation.

    For Q3: Damaged if the voltage of NC pin exceed 3V? Is there any note or warning at datasheet?
    The our customer's application is for automotive. They are cosidering about the abnormal case such as pin FMEA.

    Best Regards,
    Koji Hamamoto
  • Hi Koji-San,

    For Q2: its strange.  what is the Vin, Vo, Io, inductor L , output capacitance Co in the application? what is the test result, I'll double check it later on.

    For Q3: Please check the information below. Generally floating will not cause any problem but be better connect to GND. We can send the FMEA to you if you needed.

  • Hi Helen-san,

    Thank you for your prompt reply.

    For Q2: OK. I will check the condition that they measured.

    For Q3: Could you send us the pin FMEA?

    Best Regards,
    Koji Hamamoto
  • Hi Koji-San,

    I'll send the FMEA off-line, what's your email address?

  • Hi Helen-san,

    This is my email address. hamamoto-k@macnica.co.jp

    Best Regards,
    Koji Hamamoto
  • Hi Koji-San,

    You'll receive it soon!

  • Hi Helen-san,

    Thank you for the information.

    >>For Q2: its strange. what is the Vin, Vo, Io, inductor L , output capacitance Co in the application? what is the test result, I'll double check it later on.

    Regarding this , we got the condition.
    Vi=2.5V, Vo=7.9V, Io=0.6A, L=4.7uH, Co=57uF. SEPIC topology

    Could you provide us Frhpz for the above condition?

    Best Regards,
    Koji Hamamoto
  • Hi Koji-San,

    My calculation result is fzRHP=89.3k based on the boost; and fzRHP=95.6k based on the Sepic topology. So actually the result is very near. It is hard to determine the exact the  fzRHP by test, it can be around a value, but will not be so precise. 

    What is their calculate value? Is the result the same as mine ?