This thread has been locked.

If you have a related question, please click the "Ask a related question" button in the top right corner. The newly created question will be automatically linked to this question.

Calculating range of IFA from the radiation pattern for cc2591/cc2530.

I have gone thro' ANo58 and DN007. I cannot compute the range of the antenna from the radiation pattern specified.

In AN058 for TRP= -0.43 dbM and Gain ranging from 5.16DB to -12.81 dB what will be range of rthe Board 6 antenna when fed with a 20dBm signal from cc2591- how to do this calculation?  Can you please give me a general indication on thsi matter. For exmpal I appied Friis equation Pr=PtGtGr (wavelength/4PIR)2.

But is I just plug the Pt=20dbM and Gt=5.16 dB aand assume Gr=5.16 as well, the reuslt becomes inexact.

Thanks for help.

  • Hi Vikam JHURRY

    In an ideal “free space” environment with both the transmitting GT and the receiving GR antenna oriented max radiation direction towards each other this calculation is correct.

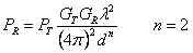
    Friis Equation


    DN0007 state max antenna gain 3.3dB in optimal orientation and vertical polarization.

    Assuming transmission power PT=20dBm and a sensitivity PR=-98.8dBm Friis equation predicts 18210m communication range

    This is as mentioned an ideal theoretical distance. Using -1dB average antenna gain reduce this range to 6765m. Adding ground influence (antenna elevation 1.5m) further reduces range to approximately 1290m. Objects in the operation environment like buildings walls, trees, rain, fog, snow. …) (table 3, swra046A) reduce range further.

    Interference from other communication equipment (WLAN, Bluetooth,..)  also hold an adverse effect on practical communication range.

    In short Friis equation is optimistic in most environments. A general recommendation is to test range in the desired environment using a TI development kit. This test can then be used as a benchmark for the performance you should expect from a custom design using the same TI parts.   

    Tor-Inge