Other Parts Discussed in Thread: SN65HVD22, SN65HVD96
Hi ;
I am working on a network with Modbus RTU. in my design I used SN65HVD22 because of 24v A-B and 240 Nodes and 1000mt . This is a great Tranciever . I manage to communicate with 4 wire A-B and Vcc + Gnd .
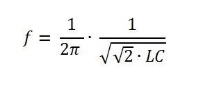
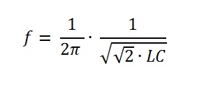
Now I am trying to use Power on data . 2wires with data and power. There is a document of SN65HVD96 that describes how to do it. But can I do that with my SN65HVD22 and how could ı calculate the capacitors and inductors value . Is there a tool , calculator or formula to do that.
My slaves MCU 1mhz , 4800Baudrate and line power is 24v .
Thanks .
Regards
Murat ..

