Other Parts Discussed in Thread: SN74LVC1G99
Hi,
Does anyone know what sort of logic ICs can do the job as described in attached diagram?
This thread has been locked.
If you have a related question, please click the "Ask a related question" button in the top right corner. The newly created question will be automatically linked to this question.
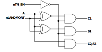
Other Parts Discussed in Thread: SN74LVC1G99
Hi,
Does anyone know what sort of logic ICs can do the job as described in attached diagram?
I don't know of a single one from TI to do that, if you are willing to use two or maybe three devices, I think I can offer a solution.
Hi Albert,
Thanks for the advice. Would be glad if you can give me some recommendations. I think at this moment, I need 4 chips. It would be great if I can reduce the count.
Lee
The most "complicated" parts of the logic are the XOR and the XNOR followed by an AND and the enable logic.
You could do the XOR and the AND using a SN74LVC1G99 where the OE depends on the NTN_EN pin. The XNOR and its AND are done with another SN74LVC1G99 gate. The rest is simple.
Hope this helps