Other Parts Discussed in Thread: SN74HCS72
Hi team,
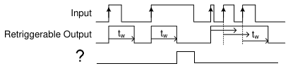
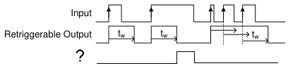
My customer is considering the circuit which turns off LED driving FET if the FET gate pulse lengh is longer than specific length (a couple of mill seconds).
Is SN74LVC1G123 right device to do that?
How should my customer configure the circuit with SN74LVC1G123?
Regards,
Itoh

