This thread has been locked.

If you have a related question, please click the "Ask a related question" button in the top right corner. The newly created question will be automatically linked to this question.

BQ28Z610-R1:How can BQ28Z610-R1 cell balance time be obtained and updated

Part Number: BQ28Z610-R1

Hi sir,

I conducted several cycle tests and found that the cell balance time is updated before the discharge starts.

What parameter is it confirming for the update? Is it the voltage difference between the two cells, or something else?

Additionally, I would like to inquire about the approximate current for battery balancing.

Best Regards,

Yan-Yu, Tuan

  • Hello Yan-Yu,

    The gauge does not perform cell balancing during discharge. Cell balancing should only happen during charge and relax. 

    When cell balancing is active, it will enable the CB bit in the Operation Status B register. The highest cell voltage will balance down to the lowest cell voltage. 
    Section 7 in the TRM explains in details how cell balancing works. 

    For more insight on how to calculate the max internal cell balancing current, please see this thread.

    Regards,
    Jose Couso

  • Hi, Jose Couso

    I understand that battery balancing will not be initiated during discharge.

    What I want to know is how the battery balance time is updated.

    Please assist in providing an answer.

    Thanks!

    Best Regards,

    Yan-Yu,Tuan

  • Hello Yan-Yu,

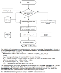
    The balance time calculation is explicitly explained in the TRM. Please see below.



    Regards,
    Jose Couso

  • Hi, Jose Couso

    I understand the calculations in TRM.

    However, I'm more interested in how to determine in BQ Studio when the cell balance time is updated.

    What conditions trigger the update of the cell balance time?

    Is it voltage difference, capacity, or some other criteria?

    Best Regards,

    Yan-Yu,Tuan

  • Hi Yan-Yu,Tuan,

    The difference in SOC between the cells will trigger cell balancing. Then the gauge will calculate the dQ which will then define the balancing time. 

    Please refer to this document for more insight on how the gauge does this. Note it is a different device, but same principle for cell balancing.

    Regards,
    Jose Couso

  • Hi, Jose Couso

    1. Where can I find the capacity and SOC of each series-connected cell?
    2. How can I determine the value of dQ?

    thanks!

    Best Regards,

    Yan-Yu,Tuan

  • Hello Yan-Yu,Tuan

    1- From the Document I shared earlier.


    2- From TRM

    The balance time calculation is explicitly explained in the TRM. Please see below.



    Regards,
    Jose Couso

  • Hi, Jose Couso

    May I inquire if it is possible to obtain the following parameter values from a picture or any other source?

    1. CellnDOD
    2. CellLOWEST_SOC DOD
    3. CellnQMax
      Your response is appreciated.
      Thanks!







      Best Regards,
      Yan-Yu,Tuan
  • Hi Yan-Yu,Tuan

    The gauge will first calculate the amount of charge needed to bring the cells to full. So the cell with the lowest DOD is the highest charged. 

    Then the gauge will calculate the dQ by taking the difference between the maximum charged cell and lowest cell. 

    So the formula is:

    dQ = (Cell_lowest_DOD - Cell_highest_DOD) * Qmax_cell_lowest_DOD

    Cell_lowest_DOD is the cell with higher voltage
    Cell_highest_DOD is the cell with lower voltage
    Qmax_cell_lowest_DOD is the Qmax of  the cell with the higher voltage.

    This parameters should be able to be used for these.


    Regards,
    Jose Couso