This thread has been locked.

If you have a related question, please click the "Ask a related question" button in the top right corner. The newly created question will be automatically linked to this question.

nand flash timing setting with am1808

Other Parts Discussed in Thread: AM1808

Hi dears:

      I have use SAMSUNG K9K8G08 flash with am1808 soc. It boots up well and could saveenv in uboot. but it has problem when I mount it  to read or write . 

I thought it must be something wrong with nand flash timing config.

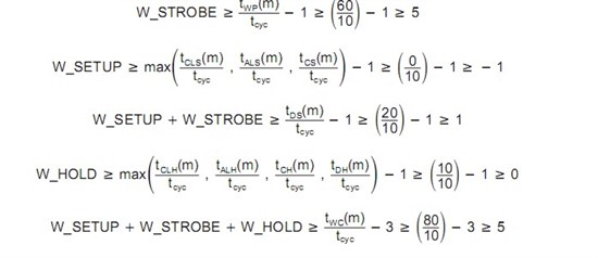
     how can i config with  "struct davinci_aemif_timing da850_evm_nandflash_timing" ?

     here is the SAMSUNG K9K8G08 AC Timing Characteristics

how can i get the value of 

.wsetup = ?,
.wstrobe = ?,
.whold = ?,
.rsetup = ?,
.rstrobe = ?,
.rhold = ?,
.ta = ?,

   thanks for your help .

   regards  jio