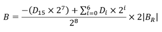
hi,
would you like kindly help check if my understanding of equation 11 is correct?
This thread has been locked.
If you have a related question, please click the "Ask a related question" button in the top right corner. The newly created question will be automatically linked to this question.
Hi,
Thanks for posting your question to the Sensors forum.
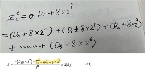
I believe there is a typo in equation 11. The correct equation should be:
Best regards,
Jesse