Hello,
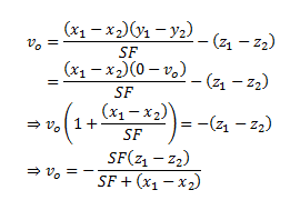
I need to use something to do analogue division, and the MPY634 seems ideal for this purpose. I've tried to simulate the schematic shown in the datasheet using the behavioural model posted somewhere on these forums, and I can't reproduce the proper division behaviour. Moreover, if I substitute (y1 = 0, y2 = vout) into the multiplier's transfer function I get this:
Which matches the output I'm getting from the SPICE simulation. However, I know that the SPICE model is based purely on the transfer function, hence I was wondering whether I would achieve the transfer function shown in the datasheet if I constructed the actual circuit.
Thank you for your help,
Leon