This thread has been locked.

If you have a related question, please click the "Ask a related question" button in the top right corner. The newly created question will be automatically linked to this question.

Amplifier transfer function

Other Parts Discussed in Thread: OPA277

Dear TI community,

I use the following circuit - see below- and I have difficulty in understanding and calculating transfer function of this schematics.

Output voltage seems to be equal to input voltage reference injected and TINA AC transfer function gives me a unity gain at low frequencies.

When I try to calculate it by theory, I must have a mistake since I find a pure integrator and a pole which is not what TINA AC transfer function gives me.

Anyone could help me in understanding this schematics please ?

  • Hey Jib Jaja,

    Thank you for attaching the circuit. The circuit you are analyzing boils down to a voltage follower with some extra impedance in the feedback path.

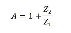
    To help explain this problem, I want you to imagine a noninverting op amp circuit configured for a gain. Remembering the transfer function of this circuit, we recall that the gain is defined as:

    Where Z2 is the impedance of the feedback path and Z1 is the “tail” impedance. Since your Z1 in your circuit is infinity, the feedback impedance is mathematically driven to 0 which leaves the gain of the overall circuit = 1 V/V

      

    The low pass effect you see around 1MHz is the unity gain BW of the OPA277 which is a spec that can be found in the OPA277’s data sheet (GBW).

    If you are trying to analyze circuits that seem foreign or different to what you’ve seen—try breaking down the circuit into general or simpler topologies that you are used to: noninverting, inverting, voltage followers, integrators, differentiators, log amplifiers, different types of filters, and so on.

    Note that the OPA277 does not exactly match the datasheet in many specifications. As a result, the macromodel has been added to a list of incorrect macromodels that will be corrected.

    Also note that extra impedance in feedback path like this can cause stability issues for the circuit. TI Precision labs has a great video series regarding stability of op amps that you can find here.

    Hope this helps,

    -Cole