This thread has been locked.

If you have a related question, please click the "Ask a related question" button in the top right corner. The newly created question will be automatically linked to this question.

OPA810: External circuit

Part Number: OPA810
Other Parts Discussed in Thread: OPA192

Hi all,

i have a question regarding the external circuit of the OPA810 amplifier. 

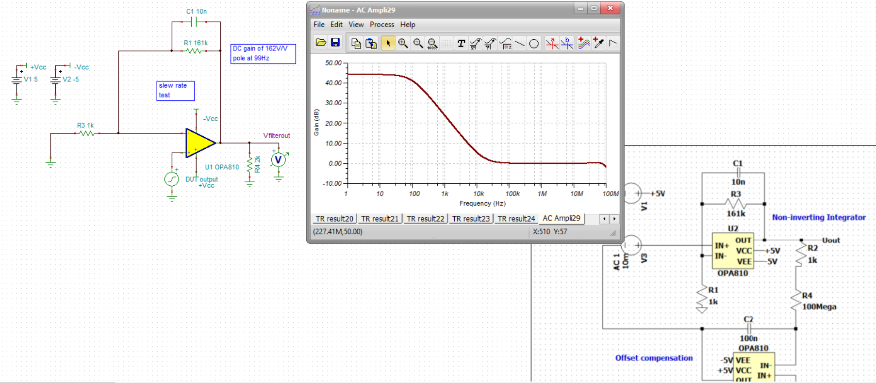
I want to built a non-inverting integrator with offset compensation. The corner frequencys for the integration range is 100 Hz to 16 kHz. In addition i wanna have an offset compensation, because the signal i want to integrate maybe have an offset. For that i simulated a circuit, but i don't know if the OPA810 can deal with my external resistors and capacitors. Im espacially afraid of the Resistor R4=200M and the Capacitor C2=100n. Do you think/know this will be a problem for the OPA810. By the way do you think the OPA810 can deal with the other components to? You can find the simulated circuit in the attachment.

I hope you can help me and i am really thankfull for every tip from you.

Best regards

  • not sure why you want to use the 810 for the servo loop amplifier - you should use a low speed precision op amp - and, you probably don't need the high pass set by that at such a low frequency - currently set at 16mHz. If you are targeting a 100Hz low end cutoff, why not reset the servo loop pole to 1.6Hz by dropping the 100Mohm to 1Mohm. 

    +/-5V low bias, low offset for the servo amp, maybe the OPA192. 

  • Hello, I agree that it is better to use a different OPV for the servo loop.

    The problem with the cutoff frequency is, that for some reason I do not understand, it is increased by the gain of the non-inverting integrator. This means that with a resistor of 100 MOhm and a capacitor of 100 nF you theoretically get a cutoff frequency of 16 mHz. There the gain is also 0 dB. However, due to the integrator's gain factor of 161 (44dB), the amplitude response increases with + 20dB/decade up to a frequency of 2.576 Hz (16mHz*161). This is the reason for the so small chosen cut off frequency. Can you explain to me why the amplitude response increases up to the frequency of 2.576 Hz with +20 dB/decade and not only up to 16 mHz?
    Thanks for your help.
    Here you can see an AC Simulation of the circuit.

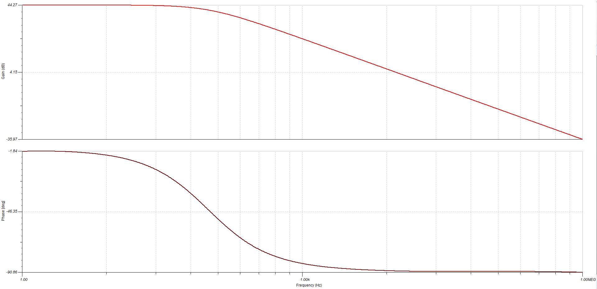
  • Well yes, you have fed the servo loop back in series with the non-inverting source to give it the same high gain it has at DC. here is just the low pass response, 

    And then adding the DC servo loop (high pass filter) as you now have it, 

    More normally, we would take the servo loop as a summing signal into the inverting node with attenuation - to do that, we have to flip the polarity in that servo amp - looks odd, but the inverting gain it gets from the main amp makes that a negative feedback loop and now gives you the response you want. 

    going to have pretty high low F noise due to that 100Mohm, not sure you care, 

    And here is this last file, in a TINA V7 format, 

    High gain low pass with servo loop OPA810.TSC

  • Hi,

    thanks for your help.

    I built up you circuit and i get the same AC Analysis. But if i perform a Transient analyses and the input signal in your case VG1 has an Offset i get a big offset at the output. For example a sinus signal with an amplitude of 10 mV and an Offset of 10 mV at 10 kHz i get an output offset of round about 10 mV. 

    Further more i dont get the purpose of the 2 Meg Resistor R5. 

    Did you performed an Transient analysis with your ciruit?

    Thanks 

    Jan

  • well you have to make sure your input square wave is in the passband, here is a 1Hz +/-10mV input - output looks correct at +/-1.62V with no offset, 

    The 2Mohm is the gain element for the servo amp giving it a gain through main op amp inverting path of -161k/2Mohm

  • Wel I want to built a non-inverting integrator with offset compensation. The corner frequencys for the integration range is 100 Hz to 16 kHz. So the signal of interest is much higher than the passband. I wanna integrate signals with frequencys above 100 Hz. The Servor loop just should remove the DC or low frequency offset of the signal of interest. For example the input Signal is a 100mV cosinus signal with 10 mV offset at a frequency of 10 kHz. The output should be a sinus signal with a lower amplitude with 10 kHz but with no (or just minimal) offset. 

  • you current cutoff frequency is 99Hz with that feedback C, if you need higher cutoff, reduce that C. And, you have implemented a non-inverting low pass filter with the main amplifier - not an integrator per se. 

  • Hi,

    yes the corner frequency of 99 Hz is optimal. I need the gain and i have to use a non-invering topology. So i have to integrate the signal in that way, am i right? 

    and with the Servo loop as a noninverting high pass filter the simulation doesnt work correctly with signals with for example 10 kHz. The simulation works only right witt the inverting high pass filter. So you think the OPA810 is stable with the high values of the components? 

  • Hello Jan,

    Offset is not entirely reduced in the scenario you provided, may want to increase effect of Servo amp by reducing R5. R5 set to 2MEG:

    R5 set as 100kohm:

    Note you don't want to set this resistor too low as this will increase the noise provided by the Servo amp and will begin to have an effect on your overall gain. Also adding a filter to your non-inverting input will help to provide the non-inverting integrator response you are looking for. You will want to match this with R3 & C1.

    Without filter:

    With filter:

    Final circuit:

    Best,

    Hasan Babiker